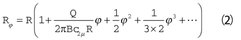
理想状态下,高压离心香蕉91视频APP下载的离心风轮外圆周流体质点的运动轨迹,即为蜗壳的型线。一般蜗壳型线有2种设计方法:对数螺旋线法和阿基米德螺旋线法。对数螺旋线法流体质点运动轨迹方程为:

式中 Rφ——蜗壳内壁半径,mm
R——风轮半径,mm
Q——空气额定流量,m3/h
B——蜗壳厚度,mm
c2μ——气流离开叶轮后的周向速度,m/s
φ——蜗壳任一截面与蜗壳起始面的夹角,°
阿基米德螺旋线法流体质点运动轨迹方程为:

在工程中常采用基元圆弧蜗壳型线法近似替换阿基米德蜗壳型线方法来绘制蜗壳。基元圆弧蜗壳型线法包含等边基元法和不等边基元法。在低比转速下2种方法气流轨迹相近,香蕉91视频APP下载公司采用等边基元法绘制蜗壳型线。在额定流量下,蜗壳的出口截面张开度A的计算式为:

一般蜗壳厚度B=162.5 mm,取蜗壳厚度B=160 mm。综合设计参数取蜗壳截面张开度A=80 mm。以风轮为中心做边长a=A/4正方形基元,以正方形 4 个定点为圆心 R1,R2,R3,R4为半径做圆,4段圆弧平滑连接成的螺旋线即蜗壳型线。其中R1=190 mm,R2=170 mm,R3=150 mm,R4=130 mm。
对于高压离心香蕉91视频APP下载的前向叶轮,蜗舌间隙t与风轮外径关系为:t=2(0.07~0.15)R,考虑到气动噪声与蜗舌间距成反比,取t=15 mm。
蜗壳顶端的圆弧角r与风轮外径关系为r=2(0.03~0.06)R,取r=9mm。绘制蜗壳内壁型线如图1所示。

将理论计算获得的蜗壳模型制成济南香蕉91视频APP下载样机,并匹配电机进行噪声测试,结果发现出风口存在出风不均的“呼啦”声,在噪声频谱上表现为中低频的宽频噪声,音质差。
版权声明:文章来源于www.paintcn.net/index.php?c=show&id=428,转载请注明出处!